Introducción a circuitos de primer orden para fuentes de valor constante. Circuitos eléctricos.
Estos circuitos contienen sólo un único elemento de almancenamiento (capacitor o inductor) y ésa se describe mediante una ecuación diferencial de primer orden. Su ánalisis describe el comportamiento de un circuito como función del tiempo después de que ocurre un cambio súbito en la red debido a la apertura o cierre de interruptores. Debido a…
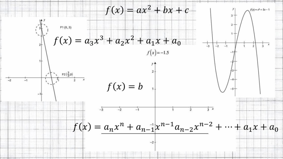
Funciones polinomiales. Cálculo diferencial.
Las funciones polinomiales son todas aquellas funciones formadas por polinomios, donde el grado del polinomio lo determina el mayor exponente de la variable. Su fórmula general es: , donde «n» es un número positivo y «a» es…
Curvatura y longitud de arco aplicado a las componentes tangente y normal de la aceleración. Cálculo vectorial.
La longitud de arco y la curvatura están relacionadas con las componentes tangencial y normal de la aceleración. La componente tangencial de la aceleración es la razón de cambio de la rapidez, que a su vez es la razón de cambio de la longitud de arco. […] En el caso de la componente normal de…
Curvatura. Calculo vectorial.
Sea «C» una curva suave (en el plano o en el espacio) dada por «r(s)», donde «s» es el parámetro longitud de arco. La curvatura «K» en «s» está dada por…
Función longitud de arco. Cálculo vectorial.
Este tema explica que a partir de una curva suave en un intervalo se puede encontrar la función longitud de arco en un intervalo cerrado.
Longitud de arco de una curva en el espacio. Cálculo vectorial.
Este tema explica como calcular la longitud de arco para una curva suave en el espacio; utiliza los parámetros x(t), y(t) y z(t) de una función vectorial dada.
Componentes tangencial y normal de la aceleración. Cálculo vectorial.
Este tema muestra como calcular las componentes tangencial y normal de la aceleración a partir de un vector posición.
Vector normal. Cálculo vectorial.
Este tema muestra como calcular el vector unitario normal principal tomando el resultado del vector tangente en una función vectorial dada.
Vector tangente. Cálculo vectorial.
En una curva suave en un intervalo abierto representada por una función vectorial es posible determinar su vector unitario tangente.
Teorema de Parseval. Fourier.
El teorema de Parseval afirma que si a_0, a_n y b_n para n=1, 2, 3, … son los coeficientes en la expansión de Fourier de una función periódica f(t) con período T…