Introducción
Sean las funciones
| (A) | |
| (B) |
De la ecuación (A), se despeja y de la ecuación (B), se despeja
A partir de esto, para más iteraciones (es decir, para n=0, 1, 2, 3, …)
Los puntos lineales son .
Criterio de convergencia
Sean y
las derivadas parciales de
, entonces, el criterio de convergencia consiste de la siguiente manera
Y para la función , también puede utilizarse el criterio de convergencia
Esto se refiere que, si las derivadas parciales de y
cumplen con la condición del criterio de convergencia, el sistema de ecuaciones no lineales tiene solución única, además de que las ecuaciones (A) y B) son las adecuadas.
Para calcular el error, su fórmula es la siguiente
Problema resuelto
Problema 1. Hallar los valores de y
del siguiente sistema de ecuaciones no lineales
Con un punto lineal y con una tolerancia de 0.10.
Solución. Se asignan las ecuaciones como A y B
| (A) | |
| (B) |
Se observa que la ecuación A tiene mayor facilidad para despejar la variable . Así que, se despejará un término
(que se ubicará en el primer miembro) y lo restante se ubicará en el segundo miembro
En el caso de la ecuación B, tiene mayor facilidad para despejar la variable . Por lo que, se despejará un término
(que se ubicará en el primer miembro) y lo restante se ubicará en el segundo miembro
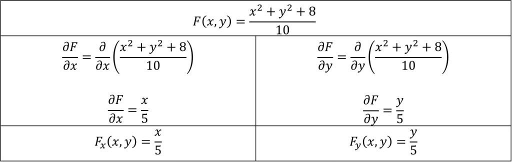
De la primera ecuación, se asigna
Y se deriva la función parcialmente con respecto a
y con respecto a

De los resultados de las derivadas parciales, se evalúa con el punto lineal
Y utilizando la fórmula de el criterio de convergencia
De la segunda ecuación, se asigna .
Y se deriva la función parcialmente con respecto a
y con respecto a

De los resultados de las derivadas parciales, se evalúa con el punto lineal
Y utilizando la fórmula de el criterio de convergencia
Se observa que ambos criterios de convergencia cumplen con la condición, esto quiere decir que los despejes son adecuados y que existe hay solución del sistema de ecuaciones no lineales.
En la primera iteración, se toma la ecuación (A) (donde ya se despejó la variable ) y se evalúa con el punto lineal
.
Del punto , el valor de
remplazará a
, así, el siguiente punto a utilizar será
. De la ecuación (B) (donde ya se despejó la variable
), se evalúa con el punto
Entonces, el segundo punto lineal es:
Calculando el primer error máximo
Tomando el valor máximo de
Comparando el valor del primer error con el valor de la tolerancia
Como el valor de este error es mayor que la tolerancia, se pasa a la siguiente iteración.
En la segunda iteración, tomando el punto
Del punto , el valor de
remplazará a
, así, el siguiente punto a utilizar será
. De la ecuación (B) (donde ya se despejó la variable
), se evalúa con el punto
Entonces, el tercer punto lineal es: .
Calculando el segundo error máximo
Tomando el valor máximo de .
Comparando el valor del segundo error con el valor de la tolerancia
Como el valor de este error es mayor que la tolerancia, se pasa a la siguiente iteración.
En la tercera iteración, tomando el punto .
Del punto , el valor de
remplazará a
, así, el siguiente punto a utilizar será
. De la ecuación (B) (donde ya se despejó la variable
), se evalúa con el punto
.
Entonces, el cuarto punto lineal es: .
Calculando el tercer error máximo
Tomando el valor máximo de
Comparando el valor del tercer error con el valor de la tolerancia
Como el valor de este error es mayor que la tolerancia, se pasa a la siguiente iteración.
En la cuarta iteración, tomando el punto .
Del punto , el valor de
remplazará a
, así, el siguiente punto a utilizar será
. De la ecuación (B) (donde ya se despejó la variable
), se evalúa con el punto
Entonces, el quinto punto lineal es: .
Calculando el cuarto error máximo
Tomando el valor máximo de
Comparando el valor del cuarto error con el valor de la tolerancia
Como el valor de este error ya es menor que la tolerancia, el último punto lineal calculado es el resultado final esperado. Finalmente