Problemas resueltos
Problema 1. Deducir la serie compleja de Fourier, de tren periódico de impulsos unitarios de la figura 3.4.1.

Solución. Un tren periódico de implusos unitarios se puede expresar como
Después, con , se tiene lo siguiente
Finalmente
Problema 2. Demostrar que
donde .
Solución. Un tren periódico de implusos unitarios se puede expresar como
Como el valor de es
(ver Problema 1), lo anterior fue
Y esto queda demostrado.
Problema 3. Hallar los coeficientes complejos de Fourier de la función que se muestra en la figura 3.4.2.

Solución. Suponiendo que
donde . Diferenciando en ambos miembros
El resultado de la primera derivada se muestra en la figura 3.4.3.

Diferenciando nuevamente en ambos miembros
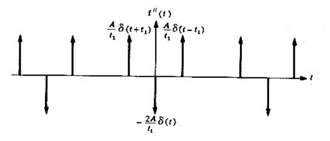
El resultado de la segunda derivada se muestra en la figura 3.4.4.

Al igualar el resultado de con
Resulta lo siguiente
observando que
De la figura 3.4.4, la segunda derivada de en el intervalo
es
Por lo que, al determinar
Luego, despejando de la ecuación
Sustituyendo el valor de
El valor de es
Como se esperaba.
Problema 4. Hallar los coeficientes complejos de Fourier de la función que se muestra en la figura 3.4.5, mediante la serie compleja de Fourier de un tren periódico de impulsos unitarios.

Solución. Suponiendo que
donde . Diferenciando en ambos miembros
El resultado de la primera derivada se muestra en la figura 3.4.6.

Diferenciando nuevamente en ambos miembros
El resultado de la segunda derivada se muestra en la figura 3.4.7.

De la figura 3.4.7, la segunda derivada de en el intervalo
es
Después, la serie compleja de Fourier de un tren periódico de impulsos unitarios es
| – – – – – – – – (1) |
donde . De la ecuación (1), agregando
dentro de cada función delta, resulta
De la ecuación (1), agregando dentro de cada función delta, resulta
Reemplazando estos dos últimos resultados y la ecuación (1) con la función
Al igualar el resultado de con
(obtenido del problema 3) resulta lo siguiente
Por lo que
Y el valor de es