Introducción
Los elementos de un circuito se pueden clasificar en dos categorías, pasivos y activos, al determinar si absorben o alimentan energía. Se dice que un elemento es pasivo si toda la energía que se le proporcionó por el resto del circuito siempre es no negativa, cero o positiva; un elemento pasivo absorbe energía. Los elementos pasivos son las resistencias, inductores y capacitores cuyo objetivo es tomar la energía de las fuentes para transformarla en otro tipo de energía o acumularla en forma de campo magnético o campo eléctrico. Así que, un elemento pasivo con la corriente que fluye a la terminal (+), esto significa que
Un elemento activo tiene la capacidad de generar energía. Las baterías y generadores son ejemplo de elementos activos. Para este caso la corriente fluye hacia la terminal negativa y sale de la terminal positiva. Se dice que un elemento es activo si
Resistencia
La resistividad es la capacidad de un material de resistir el flujo de carga. Los materiales que son buenos aisladores eléctricos tienen alto valor de resistividad. Los materiales que son buenos conductores de electricidad tienen bajos valores de resistividad. A continuación se muestra una tabla de los materiales resistivos más comunes.
| Material | Resistividad |
| Poliestireno | |
| Silicio | |
| Carbono | |
| Aluminio | |
| Cobre |
Ohm pudo demostrar que la corriente en un circuito compuesto de una batería y un cable conductor seccional uniforme se expresaría como
donde es el área transversal,
es la resistividad,
la longitud y
es el voltaje a través del elemento cable. Ohm definió la resistencia constante
como
La ley de Ohm, que relaciona el voltaje y la corriente, es
La unidad de resistencia se denominó ohmio en honor a Georg Simon Ohm y suele abreviarse con el símbolo
, donde

Figura 1. 
Figura 2.
Un elemento con una resistencia se denomina resistor. Un resistor se representa por el símbolo de dos terminales, como se muestra en la figura 1. La ley de Ohm requiere que la relación de
comparada con
sea lineal aunque puede convertirse en no lineal fuera de su rango proporcional de operación.
En la figura 2 muestra que la dirección del voltaje indica una terminal de resistor (+) y la otra (-). La corriente fluye de la terminal (+) a la terminal (-). Esta relación entre las direcciones de referencia de corriente y el voltaje es una convención denominada convención pasiva. La ley de Ohm establece que cuando la corriente y el voltaje del elemento se apegan a la convención pasiva, su ecuación es la siguiente
Las corrientes e
en el elemento son las mismas excepto por la dirección asignada, por lo que
Aplicando la sustitución por la ley de Ohm
La ley de Ohm también puede ser escrita de la siguiente manera
donde representa la conductancia en siemens (S) y es recíproca a la resistencia (
).
Ahora, la potencia transmitida a un resistor es
De manera alternativa
Y la energía transmitida a un resistor es
Inductancia
El inductor o bobina (inductancia) es el elemento del circuito que acumula energía de una campo magnético. Con una corriente variable con el tiempo, la energía se acumula durante una parte del ciclo en el elemento y durante la otra parte del ciclo se devuelve a la fuente. Cuando el inductor se desconecta de la fuente, el campo magnético desaparece y, por tanto, no hay energía acumulada en el elemento. Las bobinas que se encuentran en los motores eléctricos, en los transformadores y en dispositivos similares son inductancias. La configuración de dos hilos conductores en paralelo presentan efecto de inductancia, que debe tenerse en cuenta cuando la corriente eléctrica es variable. Para calcular el voltaje de un inductor, se utiliza la siguiente fórmula
Las expresiones de potencia y energía de un inductor son las siguientes
La energía acumulada en el campo magnético de una inductancia es
Capacitancia
Un condensador (capacitancia o capacitor) es el elemento de un circuito que acumula energía en forma de campo eléctrico. Cuando el voltaje varía a lo largo de un ciclo, la energía ser acumulada durante un tiempo y ser devuelta a la fuente a continuación; en un condensador la carga eléctrica permanece y en consecuencia el campo eléctrico, aun después de desconectar a la fuente. Esta condición de carga del capacitor permanece hasta que se provoque una descarga, provocando una disipación de energía. La carga de un condensador provoca un campo eléctrico en el dieléctrico, el cual acumula la energía correspondiente. En un condensador plano hay exceso de carga en una placa y déficit en la otra. Cuando el condensador se descarga, produce un equilibrio de cargas en las placas. Las ecuaciones para la potencia y energía del capacitor son las siguientes:
La energía acumulada en el campo eléctrico de un condensador es
Relación entre el voltaje y corriente
Los elementos pasivos de los circuitos se definen a partir de la relación concreta entre la relación y la corriente en cada uno de ellos. Si la corriente y el voltaje para un elemento simple están relacionadas por una constante, se dice que el elemento es una resistencia, siendo la constante de proporcionalidad y verificando que
. Ahora, si el voltaje representa la derivada con respecto al tiempo de la intensidad, entonces el elemento es una bobina, siendo
la constante de proporcionalidad y verificando que
. Y si la corriente a través de ese elemento es la derivada con respecto al tiempo del voltaje, será un capacitor (condensador), siendo
la constante de proporcionalidad y verificando que
. A continuación, se muestra una tabla mostrando las relaciones para los tres elementos pasivos de los circuitos (tabla 1).

Fuentes independientes
Una fuente independiente tiene como objetivo suministrar energía a un circuito y puede funcionar como fuente de corriente o fuente de voltaje. El voltaje de una fuente de voltaje es específico, pero la corriente la determina el resto del circuito.
Una fuente de voltaje independiente proporciona un voltaje específico independiente de la corriente que fluye a través de él y no depende de cualquier otra variable de un circuito.
Una fuente de corriente independiente proporciona una corriente independiente del voltaje que fluye a través del elemento fuente y es independiente de cualquier otra variable de circuito.
El voltaje de una fuente de voltaje ideal se proporciona para una función específica, , la corriente determina el resto del circuito (figura 3); la corriente de una fuente de corriente ideal se proporciona para una función específica,
, el voltaje lo determina el resto del circuito (figura 4); una fuente ideal es un generador de voltaje o de corriente independiente de la corriente a través de la fuente de voltaje o del voltaje a través de la fuente de corriente.

Figura 3. 
Figura 4. 
Figura 5. 
Figura 6.
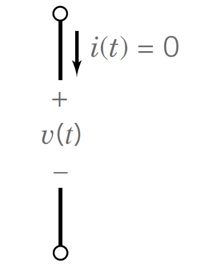
El cortocircuito y el circuito abierto son casos especiales de fuentes ideales. Un cortocircuito es una fuente de voltaje ideal que tiene (figura 5). La corriente en un cortocircuito está determinada por el resto del circuito. Un circuito abierto es una fuente de corriente ideal que tiene
(figura 6). El voltaje a través de un circuito abierto está determinado por el resto del circuito.
Los cortocircuitos y circuitos abiertos también se pueden describir como casos especiales de resistores. Un resistor con una resistencia (
) es un cortocircuito. Un resistor con conductancia
(latex R=\infty$) es un circuito abierto.
Fuentes dependientes
Las fuentes dependientes modelan la situación en la cual el voltaje o la corriente de un elemento de circuito es proporcional al voltaje o corriente del segundo elemento de circuito. Este tipo de fuentes modelan dispositivos electrónicos como transistores o amplificadores.
Cada fuente dependiente consta de dos partes: la parte predominante y la parte controlada. La parte predominante representa un circuito abierto o un cortocircuito mientras que la parte controlada representa una fuente de voltaje o una fuente de corriente. Existen cuatro tipos de fuentes dependientes que corresponden a las cuatro formas de seleccionar una parte controladora y una parte controlada; estas cuatro fuentes se muestran en la siguiente tabla (tabla 2)
