Problema. Hay un barco anclado a 5 (km) del punto más cercano a una playa rectilínea. Se desea enviar un pasajero hasta un campamento situado a 5 (km) a lo largo de la playa a partir del punto más próximo al barco. El pasajero puede remar a razón de 4 (km/hr) y caminar por la arena de la playa a 6 (km/hr) ¿Cuál será el tiempo más corto posible de viaje del barco al campamento?

Solución. Por medio del triángulo rectángulo y del teorema de Pitágoras, se determina la hipotenusa.

El tiempo de remado es

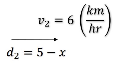
El tiempo caminado del pasajero es

Paso 1. La suma del tiempo de remado y el tiempo caminado del pasajero es el tiempo empleado.
Donde “” está dada en (hr).
Paso 2. Derivando la función del tiempo con respecto a “” en ambos miembros
Paso 3. Si es nula
Paso 4. Sustituyendo el valor de “” en la distancia caminada por el pasajero
Y en la ecuación del tiempo
Paso 5. Derivando nuevamente
Si
Como se trata de un mínimo. Por lo tanto, el pasajero deberá desembarcar a
a lo largo de la costa y caminar 0.53 (km) para gastar 1 (hr) 46 (min) como tiempo mínimo.