Introducción
Es cuando un cuerpo es lanzado hacia arriba y va en contra de la gravedad; se considera despreciable la resistencia del aire.
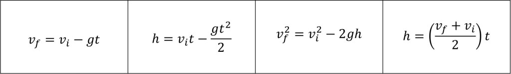
Las ecuaciones para resolver problemas de tiro vertical son las siguientes

Problema resuelto
Problema. Se lanza una pelota hacia arriba y ésta tarda dos segundos en llegar al piso, ¿a qué velocidad fue lanzada y qué altura máxima alcanzó?

Solución. Se tienen los siguientes datos
Después, se toma la ecuación siguiente para despejar la velocidad inicial y sustituir los valores correspondientes.
Por último, para calcula la altura máxima, se toma la siguiente fórmula
La velocidad inicial de la pelota fue 9.81 (m/s) y la altura máxima que alcanzó fue 4.905 (m).