Introducción
Considerar el siguiente sistema con función de transferencia pulso en lazo cerrado
| (1) |
La estabilidad del sistema que define la ecuación (1), así como la de otros tipos de sistemas de control en tiempo discreto, puede determinarse por las localizaciones de los polos en lazo cerrado en el plano z, o por las raíces de la ecuación característica:
Como sigue
- Para que el sistema sea estable, los polos en lazo cerrado o las raíces de la ecuación característica deben presentarse en el plano z dentro del círculo unitario.
- Si un polo simple se presenta en z=1, entonces el sistema se vuelve críticamente estable. También ocurre si solo un par de polos complejos conjugados se presentan sobre el círculo unitario. Cualquier polo múltiple, el sistema es inestable en el círculo unitario.
- Los ceros en lazo cerrado no afectan la estabilidad absoluta y por lo tanto pueden quedar localizados cualquier parte del plano z.
Problema resuelto
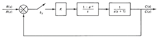
Problema 1. Considere el sistema de control en lazo cerrado. Determine la estabilidad hallando para que valor de K lo es. La función de transferencia G(s) es:

Solución. Se reacomodan los terminos de los cocientes brindados por el problema.
Determinando su transformada
Para poder determinar esto último, se resuelve primero hallando su transformada inversa de Laplace, partiendo del desarrollo fracciones parciales
Donde los valores son ,
,
Y el equivalente (desarrollo por fracciones parciales) es
Entonces, su transformada inversa de Laplace es
Remplazando t por kT
Regresando y aplicando la transformada
De la ecuación del problema, se observa que , por lo que, sustituyendo este valor en el resultado de la transformada z, obtiene lo siguiente:
Cambiando el término por
Si , resulta que
Al estudiar la ecuación característica
Resolviendo esta última ecuación por fórmula general
Sus soluciones son
y
Hallando sus magnitudes
Como los valores de y
no rebasan el radio del círculo unitario:
Finalmente, se concluye que el sistema es estable.