Una parte interesante de la serie de Fourier es acerca de su convergencia, y para ello se introduce lo que son las condiciones de Dirichlet. Esas condiciones son
- La función
tiene un número finito de discontinuidades en un período.
- La función
tiene un número finito de máximos y mínimos en un período.
- La integral del valor absoluto de
en un período es finita, es decir
finita
Una función se dice que es continua a tramos en el intervalo finito
si satisfacen las dos primeras condiciones de Dirichlet.

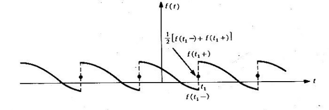
En un punto de discontinuidad, como se observa en la figura 1.7.1, el cual se denota como , la serie de Fourier converge a
donde es el límite de
cuando
se aproxima a
por la izquierda, y
es el límite de
cuando
se aproxima a
por la derecha.
Sucesiones de los coeficientes de f(t)
Si y
son las suceciones de los coeficientes de
, a continuación, se demostrará que
Comenzando a partir de la desigualdad (vista en el tema 1.7)
Invirtiendo la desigualdad y todos sus términos
Y puesto que la serie del miembro izquierdo es convergente entonces es necesario que
lo cual implica que
Si una función es continua por tramos y la integral del valor absoluto de es finita en el intervalo
, entonces
O mejor dicho