Problemas resueltos.
Problema 1. Hallar la curva para la que:
a) La suma de los segmentos interceptados por la recta tangente en los ejes coordenados es igual a .
b) El producto de los segmentos interceptados por la recta tangente en los ejes coordenados es igual a .
c) La porción de recta tangente interceptada por los ejes coordenados es de longitud constante .
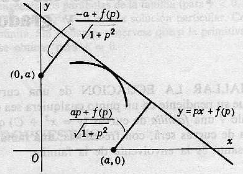
Solución. Sea la ecuación diferencial que representa la ecuación de la recta tangente
donde los segmentos interceptados en el eje y en el eje
son
y
, la cual tiene la forma de la ecuación de Clairaut; esto se puede representar en la siguiente figura

Solución a). Según del enunciado del inciso a)
Despejando resulta que
Tomando la ecuación de la recta tangente
Entonces, su primitiva es
Es decir
La curva pedida, envolvente de la familia, se determina de la siguiente manera (hallando el discriminante)
Es decir,
Se observa que esta curva es una envolvente (solución singular) ya que satisface la ecuación diferencial y no se puede obtener de la primitiva y no se puede obtener de la primitiva dando un valor a C.
Solución b). Según el enunciado del inciso b)
Despejando , resulta que
Sustituyendo en la ecuación de la recta tangente
Por lo que su primitiva es
o también
La curva pedida, envolvente de la familia, se determina de la siguiente manera (hallando el discriminante)
Solución c). Según del enunciado del inciso c)
Despejando
Sustituyendo en la ecuación de la recta tangente
Y su primitiva es
Para determinar su ecuación envolvente, primero se deriva este último resultado con respecto a .
Al despejar
Sustituyendo esto último en la ecuación primitiva, se tiene que
Así que, la ecuación envolvente es
Problema 2. Hallar la curva para la que:
a) La suma de las distancias de los puntos y
a la recta tangente es igual a
.
b) La suma de las distancias de los puntos y
a la recta tangente es igual a
.
Solución a). Según del enunciado, se tiene la siguiente figura analizada

Del punto , la primera distancia es
Y del punto , la segunda distancia es
Sumando las distancias (de acuerdo con el enunciado del inciso a))
Despejando
Sustituyendo en la ecuación de la recta tangente
Su primitiva es
O bien
Determinando la curva (por medio del discriminante)
Solución b). Según el enunciado, se tiene la siguiente figura analizada

Del punto , la primera distancia es
Y del punto , la segunda distancia es
Sumando las distancias (de acuerdo con el inciso b))
Despejando
Sustituyendo en la ecuación de la recta tangente
Determinando su primitiva
Para obtener la curva, primero se deriva con respecto a el resultado anterior
Despejando
Sustituyendo en la ecuación primitiva
La envolvente es
Problema 3. Hallar una curva tal que la tangente en cualquiera de sus puntos sea la bisectriz del ángulo determinado por la ordenada que pasa por
y la recta que une
con el origen.
Solución. Por medio del enunciado, se tiene la siguiente figura (figura 1.12.4)

Sea el ángulo de inclinación de una tangente y
el ángulo de inclinación de
. Entonces, si
es el pie de la ordenada que pasa por
, en ángulo OPM
Luego,
y también
Ahora
y
se obtiene la ecuación diferencial de la curva
Derivando con respecto a ,
Integrando
Sustituyendo el valor de en la ecuación diferencial de la curva